Haze Battery Company manufactures batteries for mission-critical Telecom and Standby Power applications.
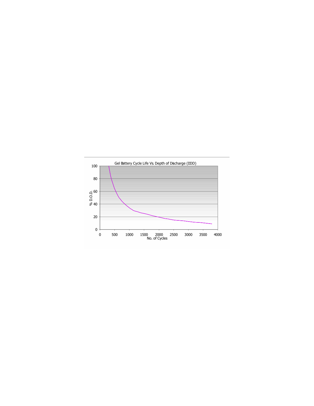
All Haze Gel batteries have a 12-year design life, a decent cyclic life (650 cycles to 50% DOD) and are manufactured to high standards. These gel batteries are safe to transport and feature low self-discharge rates coupled with high charge efficiency.
The active material used in the batteries is very high purity lead (99.9999%). Cases are flame retardant ABS with EPDM rubber venting valves. The electrolyte is analytical grade. All terminals are epoxy sealed by extended mechanical paths.
All models comply with Telcordia SR 4228, IEC896-2, DIN 43534, BS 6290 Pt4, and Eurobat.
- Off-Grid Power Applications
- Solar PV For Remote 4G Networks, Telecoms & Communications
- Solar Powered CCTV & Security Systems For Remote Sites
- Solar & Wind Powered Lighting Systems
- Off-Grid Power For Remote Buildings
- Custom Designed Marine Solar & Wind Power Kits - Yachts & Boats
- Solar PV Power Systems For Motorhomes & Campervans
- Mobile Solar PV Power Systems - Expeditions & Research Projects
- Solar Telemetry & SCADA Solutions for Remote Sites
- Solar Submersible Pumps for Remote Wells or Boreholes
- Off-grid Power Systems for Remote Sites
- DC Cable Sizing Tool - Wire Size Calculator - mm2 & AWG
- EDC - Off-Grid Power Specialists - Our History & Values
- Contact Us
- Off-Grid Power Store
- Solar PV Panels - Off Grid
- Solar PV Charge Controllers
- Off-Grid Wind Turbine Generators
- Deep Cycle Solar Batteries
- Hoppecke SunPower VR/L 2V Gel Batteries
- Sonnenschein Solar Gel Batteries
- Leoch Lead Carbon Solar Batteries
- Victron Batteries - Gel, AGM, Lead Carbon
- Victron Lithium Batteries - LiFePO4
- Haze Solar Gel Batteries - 12V & 6V
- MK Deka Solar Gel Batteries - 12V & 6V
- Fiamm SMG/S - OPzV Gel Batteries - 2V Cells
- Sodium Ion Low Temp Batteries 12V
- Battery & System Monitoring
- Battery Protection - LVD
- DC Voltage Converters - 12V / 24V / 48V
- Off-Grid Power Inverters DC to AC
- Off-Grid Hybrid Inverter Chargers
- Mains Battery Chargers
- Battery Combiners / Split Chargers
- Solar PV Powered Water Pumps
- DC Lights, Timers & PIR Sensors
- DC Fridges & Freezers
- Off-Grid Solar Installation Hardware
- Solar & Battery Cables + Connectors
- DC Switches, Fuses, MCBs & Distribution
- Solar PV Panels - Off Grid
- Solar PV Charge Controllers
- Off-Grid Wind Turbine Generators
- Deep Cycle Solar Batteries
- Hoppecke SunPower VR/L 2V Gel Batteries
- Sonnenschein Solar Gel Batteries
- Leoch Lead Carbon Solar Batteries
- Victron Batteries - Gel, AGM, Lead Carbon
- Victron Lithium Batteries - LiFePO4
- Haze Solar Gel Batteries - 12V & 6V
- MK Deka Solar Gel Batteries - 12V & 6V
- Fiamm SMG/S - OPzV Gel Batteries - 2V Cells
- Sodium Ion Low Temp Batteries 12V
- Off-Grid Power Inverters DC to AC
- Off-Grid Hybrid Inverter Chargers
- Solar PV Powered Water Pumps
- Off-Grid Solar Installation Hardware
- DC Switches, Fuses, MCBs & Distribution
English
GBP £
Menu
- INFORMATION
- PRODUCTS
- Solar PV Panels
- Wind Generators
- Deep Cycle Batteries
- Deep Cycle Batteries
- Hoppecke SunPower VR/L 2V Gel Batteries
- Fiamm OPzV Gel Batteries - 2V Cells
- Sonnenschein Solar Gel Batteries
- Victron Gel & Lead Carbon Batteries
- MK Deka Solar Gel Batteries - 12V & 6V
- Haze Solar Gel Batteries - 12V & 6V
- Leoch Lead Carbon Solar Batteries
- Victron LiFePO4 Batteries
- Sodium Ion Low Temp Batteries 12V
- Close
- Battery Disconnect Isolators
- Battery Monitoring / Meters
- Battery Protection / LVDs
- Battery Terminals + Covers
- Battery Combiners
- Close
- Deep Cycle Batteries
- Inverters & Chargers
- Solar Water Pumps
- Installation Hardware
- DC Lights, PIRs, Timers
- DC Voltage Converters
- Cable & Connectors
- Electrical Accessories
- Close
- SUPPORT
- ABOUT
- Contact Our Team
- About Us
- Close
Menu
- INFORMATION
- PRODUCTS
- Solar PV Panels
- Wind Generators
- Deep Cycle Batteries
- Deep Cycle Batteries
- Hoppecke SunPower VR/L 2V Gel Batteries
- Fiamm OPzV Gel Batteries - 2V Cells
- Sonnenschein Solar Gel Batteries
- Victron Gel & Lead Carbon Batteries
- MK Deka Solar Gel Batteries - 12V & 6V
- Haze Solar Gel Batteries - 12V & 6V
- Leoch Lead Carbon Solar Batteries
- Victron LiFePO4 Batteries
- Sodium Ion Low Temp Batteries 12V
- Close
- Battery Disconnect Isolators
- Battery Monitoring / Meters
- Battery Protection / LVDs
- Battery Terminals + Covers
- Battery Combiners
- Close
- Deep Cycle Batteries
- Inverters & Chargers
- Solar Water Pumps
- Installation Hardware
- DC Lights, PIRs, Timers
- DC Voltage Converters
- Cable & Connectors
- Electrical Accessories
- Close
- SUPPORT
- ABOUT
- Contact Our Team
- About Us
- Close
- Off-Grid Power Applications
- Solar PV For Remote 4G Networks, Telecoms & Communications
- Solar Powered CCTV & Security Systems For Remote Sites
- Solar & Wind Powered Lighting Systems
- Off-Grid Power For Remote Buildings
- Custom Designed Marine Solar & Wind Power Kits - Yachts & Boats
- Solar PV Power Systems For Motorhomes & Campervans
- Mobile Solar PV Power Systems - Expeditions & Research Projects
- Solar Telemetry & SCADA Solutions for Remote Sites
- Solar Submersible Pumps for Remote Wells or Boreholes
- Off-grid Power Systems for Remote Sites
- DC Cable Sizing Tool - Wire Size Calculator - mm2 & AWG
- EDC - Off-Grid Power Specialists - Our History & Values
- Contact Us
- Off-Grid Power Store
- Solar PV Panels - Off Grid
- Solar PV Charge Controllers
- Off-Grid Wind Turbine Generators
- Deep Cycle Solar Batteries
- Hoppecke SunPower VR/L 2V Gel Batteries
- Sonnenschein Solar Gel Batteries
- Leoch Lead Carbon Solar Batteries
- Victron Batteries - Gel, AGM, Lead Carbon
- Victron Lithium Batteries - LiFePO4
- Haze Solar Gel Batteries - 12V & 6V
- MK Deka Solar Gel Batteries - 12V & 6V
- Fiamm SMG/S - OPzV Gel Batteries - 2V Cells
- Sodium Ion Low Temp Batteries 12V
- Battery & System Monitoring
- Battery Protection - LVD
- DC Voltage Converters - 12V / 24V / 48V
- Off-Grid Power Inverters DC to AC
- Off-Grid Hybrid Inverter Chargers
- Mains Battery Chargers
- Battery Combiners / Split Chargers
- Solar PV Powered Water Pumps
- DC Lights, Timers & PIR Sensors
- DC Fridges & Freezers
- Off-Grid Solar Installation Hardware
- Solar & Battery Cables + Connectors
- DC Switches, Fuses, MCBs & Distribution
- Solar PV Panels - Off Grid
- Solar PV Charge Controllers
- Off-Grid Wind Turbine Generators
- Deep Cycle Solar Batteries
- Hoppecke SunPower VR/L 2V Gel Batteries
- Sonnenschein Solar Gel Batteries
- Leoch Lead Carbon Solar Batteries
- Victron Batteries - Gel, AGM, Lead Carbon
- Victron Lithium Batteries - LiFePO4
- Haze Solar Gel Batteries - 12V & 6V
- MK Deka Solar Gel Batteries - 12V & 6V
- Fiamm SMG/S - OPzV Gel Batteries - 2V Cells
- Sodium Ion Low Temp Batteries 12V
- Off-Grid Power Inverters DC to AC
- Off-Grid Hybrid Inverter Chargers
- Solar PV Powered Water Pumps
- Off-Grid Solar Installation Hardware
- DC Switches, Fuses, MCBs & Distribution
English
GBP £
Description
Product Details
- Capacity (Ah)
- 97Ah @ c100, 87.9Ah @ c20
- Voltage (V)
- 12V Block
- Type
- Sealed VRLA GEL
- Width
- 260 mm
- Height
- 229 mm
- Depth
- 168 mm
- Weight
- 24.4 Kg
EDC-HAZE-80
Attachments
About Haze
Haze Battery offer a wide range of gel batteries in 6V or 12V blocks. Gel batteries offer safe transportation, low gassing and improved deep discharge characteristics.
With a reputation for quality, Haze also supply other famous battery companies.






